近日,英国上市公司官网365席力教授团队的崔宝山青年研究员和貟吉军博士,在Advanced Functional Materials上发表了题为“Anisotropic Interlayer Dzyaloshinskii–Moriya Interaction in Synthetic Ferromagnetic/Antiferromagnetic Sandwiches”的研究成果。该研究证实了层间DMI具有各向异性的特征,并详细阐述了其物理机制,这对于利用层间DMI设计与制备自旋电子器件至关重要。
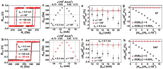
在器件应用研究中,人工合成反铁磁(SAF)结构由于具有杂散场小、稳定性强等优点,与铁磁材料相比更有利于实现高密度存储。最近的研究表明在SAF结构中除了存在海森堡相互作用、RKKY相互作用、界面Dzyaloshinskii–Moriya相互作用(DMI)外,还存在间接的不对称的相互作用,即层间DMI。针对层间DMI相关性质研究不足、如何调控层间DMI强度的问题,该研究团队首次利用电流诱导磁滞回线偏移方法定量地测量了层间DMI的强度,发现层间DMI的强度与SAF结构的间隔层厚度密切相关,并且所有样品体系的层间DMI都具有各向异性的特征。随后该研究团队与南京大学杨洪新教授合作,通过第一性原理计算的方法,阐明了层间DMI的各向异性是由面内原子分布高对称方向的对称性破缺引起的。该研究团队还证实了层间DMI对于自旋轨道力矩(SOT)翻转磁矩有着显著影响,这对于设计基于SAF结构的自旋电子器件有着指导意义。
研究团队首先构建宏观模型,定性地分析了层间DMI对于SOT驱动磁矩翻转和畴壁运动的影响,为实验上测量层间DMI的强度打下基础。

图1.层间DMI的产生及其对电流驱动畴壁运动影响的机制示意图

图2. 定量表征层间DMI强度

图3. 计算出的各向异性层间DMI

图4. 层间DMI导致的不对称的SOT驱动磁矩翻转
该研究最后还展望了利用层间DMI进行应用的研究前景。本研究成果对于基于层间DMI设计自旋电子学器件可以提供实验基础和理论依据。
课题组主页:https://physz.lzu.edu.cn/system/phyqt/content.jsp?id=192